Статистика - свойство системы тождественных частиц. Статистика является следствием принципа неразличимости частиц одного сорта (тождественных частиц) и вероятностного характера событий в микромире.
2 частицы (1,2). 2 состояния
.
Классический случай

Статистика Бозе-Эйнштейна

Статистика Ферми-Дирака

Принцип Паули

Дейтрон - ядро, состоящее из одного протона и одного нейтрона. Изучая свойства этой простейшей ядерной системы можно подобрать потенциал, описывающий характеристики дейтрона - малый радиус действия сил, энергию связи дейтрона, спин, магнитный и квадрупольный моменты.

Easy example about rectangle hole.
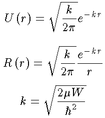
Волновая функция дейтрона.


Радиус дейтрона.

Спиновые состояния дейтрона.



Состояние отсутствует

Состояние отсутствует
Таким образом зависимость ядерного взаимодействия от спинов нуклонов:

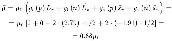
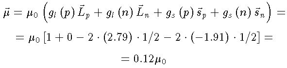
Магнитный момент дейтрона.







Квадрупольный момент.



Потенциал нуклон-нуклонного взаимодействия

Спин-орбитальное взаимодействие - взаимодействие между спином нуклона и его
орбитальным моментом количества движения. Спин-орбитальное взаимодействие ярко
проявляется в эксперименте по поляризации протонов при рассеянии на ядре
.


Взаимодействие между двумя нуклонами можно описать потенциалом, который будет
иметь следующий вид.
Первое слагаемое
описывает зависимость ядерного взаимодействия от расстояния
между нуклонами
Второе слагаемое
описывает зависимость ядерного взаимодействия от спинов
нуклонов
Третье слагаемое
описывает тензорный характер ядерных сил - зависимость ядерного
взаимодействия от величины проекции спинов
,
нуклонов на направление единичного
вектора
, определяющего взаимное расположение нуклонов.
Четвертое слаглемое
описывает зависимость ядерных сил от взаимной ориентации
спинового и орбитального моментов нуклона.
Ядерное взаимодействие можно также описать, как обмен виртуальными мезонами между
нуклонами.


 
All Your comments, suggestions and bug reports (any kind) are welcome here.
Last updated 13 April 1997 year.