



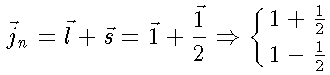
Основные закономерности
четно-четные ядра
полуцелое A-нечетное
целое A-четное
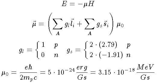
Магнитный дипольный момент ядра
определяет энергию взаимодействия
ядра
с однородным магнитным полем
. Магнитный момент измеряется в магнетонах Бора -
.
Магнитный момент ядра зависит от спинового
и орбитального
моментов нуклонов.
,
- орбитальное и спиновое гиромагнитные отношения.

Missed picture.
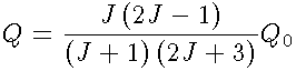
Квадрупольный момент ядра описывает степень несферичности распрелеления
заряда в ядре. Величина квадрупольного момента измеряется в барнах. Величина внешнего
квадруполного момента ядер измеряется в лабораторной системе координат. Внутренний
квадрупольный момент ядра
измеряется в системе координат ядра.


- внутренний момент
- внешний момент


Ниже представлена зависимость квадрупольных моментов ядер от порядкового номера ядра

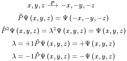
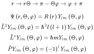
Пространственная четность Р характеризует свойства системы относительно
пространственных отражений. Различают состояния с положительной и отрицательной четностью.
Четность волновой функции Р частицы определяется моментом l и внутренней четностью
и равна
.
Четность - мультипликативное квантовое число. Протоны и нейтроны имеют положительную
внутреннюю четность, поэтому четность ядра определяется соотношением
,
где
- орбитальные моменты нуклонов в ядре.

Четность в сферической системе координат.

Четность системы частиц.

 
All Your comments, suggestions and bug reports (any kind) are welcome here.
Last updated 13 April 1997 year.